糖尿病,65%的脂肪饮食,早餐,间歇性禁食
80天,减了5磅体重,我的血糖达到了史上最高水平?
亚当·布朗
我一直在不断地尝试了解我自己的糖尿病,并测试我听到的东西。这篇文章分享了我最近尝试的最有趣的食物实验。其中一些对我来说是如此的令人惊讶,我想它可能是有用的分享谩骂读者。
如果你觉得这篇文章有用,可以看看我即将出版的书,亮点与地雷!
[编者注:一如既往,这篇文章不应被理解为医学建议。在对日常生活做出重大改变之前,特别是在你正在服用胰岛素的情况下,请咨询医疗服务提供者。
三个有趣的食物实验
1.在过去的80天里,我看到了吃高脂肪食物的良好效果(我65%的卡路里)和碳水化合物(大约每天90克)比我在过去的.在过去的11.5周中,我76%的时间都在70-140毫克/分升的范围内,平均水平很低(118毫克/分升),低血糖和低糖尿病负担。综合起来,这是我在这么长一段时间内所见过的最强大的数字。我还瘦了5磅。参见下面的CGM、体重和胆固醇数据。
2.我现在早餐大多吃奇亚布丁-对血糖影响很小,很容易饱腹,三分钟就能做好(不用做饭),便宜(每顿0.53美元),携带方便,富含Omega 3和纤维。这是一个改变早餐游戏规则的东西,我创造了一个我非常喜欢的食谱。
3.有一个星期,我试着在中午12点吃第一顿饭,晚上8点以后就不吃东西了(16:8间歇性禁食)。这个时间表可能对那些挣扎于早餐兴奋或晚上吃太多零食的人非常有效。我喜欢有一个明确的界限:“我晚上8点后不吃东西。期。”
细节,我的数据和经验教训
1.在过去的80天里,我已经看到了吃一点低碳水化合物和高脂肪比我在过去的:65%的卡路里来自脂肪,21%来自蛋白质,14%来自碳水化合物(平均每天90克碳水化合物)。在过去11.5周的时间里,我76%的时间都在70-140毫克/分升的范围内,平均水平低得惊人(118毫克/分升),变异率低(不到平均水平的四分之一),低血糖的风险低(每天3%)。在此期间,在70-180毫克/分升范围内的时间是95%。综合起来,这些是我在这么长一段时间内观察到的最有力的糖尿病数据。截图来自Dexcom Clarity/G5下面是。
我的大部分脂肪热量仍然来自坚果和种子,但我摄入了更多的橄榄油,少吃一点水果,午餐吃鸡蛋配沙拉,多吃一点鱼和高脂肪的肉类(鸡腿肉,裙排,绞牛肉),少量使用杏仁面粉。你可以在之前的专栏中看到我到底吃了什么在这里,以及我从这种饮食方法中看到的好处在这里和在这里尤其是糖尿病的发病率较低,胰岛素的剂量也更安全。我一直在追踪我的食物LoseIt !应用程序.


我知道这种饮食方式是个人选择,但它似乎真的对我有效。我认为分享这些长期的数据会强调我为什么坚持。显然,食物并不是导致这些血糖数字的唯一原因,但它是造成这些数字的主要原因,特别是考虑到所需的低糖尿病努力:我不需要计算碳水化合物,也不需要担心大剂量的胰岛素或血糖的快速波动。
这段时间我也瘦了大约5磅尽管我并没有刻意限制卡路里.当然,这也可能是由于早餐的变化或吃早一点的晚餐没有夜间零食(见下文)。我在这里提到它只是因为我的体重很少波动超过几磅,自从我在8月初开始吃更低的碳水化合物和更高的脂肪以来,这种变化一直非常稳定。
.png)
由于我刚刚完成了实验室的工作,下面的表格分享了我的胆固醇值,这比我在大学时摄入的高碳水化合物好多了。这是我经常从营养学家和糖尿病教育工作者那里得到的问题:低碳水化合物、高脂肪的饮食不会增加胆固醇吗?我看到过相反-自从我在大学改用这种饮食方式后,我的血脂水平有所提高。你会立刻注意到我的低密度脂蛋白略高于低于100毫克/分升的目标,尽管我最近很震惊地得知低密度脂蛋白可能不是一个可靠的心脏病风险标志,例如,它甚至没有包括在啊哈/ ACC,弗雷明汉,或雷诺兹心脏病风险计算器。第一类研究(在这里)及第2类(在这里)也提示其他参数可能比单独LDL更具有预测性(非HDL/HDL,总胆固醇/HDL)。
.png)
我仍在研究其他心脏病风险标志物,如颗粒大小(LDL-P, apoB),有人认为它们比脂质比更能预测心脏病。到目前为止,我发现这个领域的研究很难展开。
2.现在我的早餐大多是奇亚布丁——对血糖的影响很小,很饱,三分钟就能做好(不用做饭),便宜(每顿0.53美元),很适合旅行,还富含Omega 3脂肪酸。我认为这是早餐的转折点。我在我的全垒打早餐专栏但我现在完全被说服了。奇亚籽看起来像罂粟籽,尝起来也不像任何东西,所以这取决于它们是如何调味的。
我的食谱:我混合了1/4杯奇亚籽,1/2杯水,大量的肉桂,1汤匙椰子油,1茶匙纯香草精(无糖),和一些随意组合的浇头(通常是冷冻覆盆子和坚果或葵花籽)。用勺子搅拌大约一分钟,再静置大约一分钟,它就变成了布丁一样的凝胶。它也可以通过翻四倍的配方批量生产。网上也有很多其他的食谱,尽管大多数都有太多的添加糖。
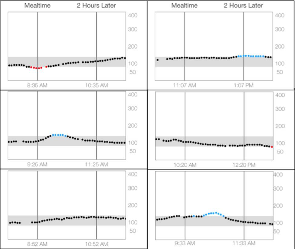
我已经吃了大约40次了,你可以在下面看到六个过去几周的葡萄糖样本(使用餐记忆+G5 Dexcom公司将).我几乎每次吃这个都会看到一个非常平坦的葡萄糖曲线,我只服用一个单位的胰岛素开始用餐时.有时候我直到下午1点才吃东西,因为我不饿。
.png)
我在亚马逊上批量购买奇异籽(链接;2磅10美元),平均每顿早餐只需0.53美元。这相当于吃两个鸡蛋的成本。如果你想在不占用储藏空间的情况下先尝试一下,也可以购买少量的奇亚籽。
便携式会议旅行!在最近一次去欧洲的旅行中,我带了一袋奇亚籽和一个特百惠(tu百惠)碗,为了避免吃这些东西,我每天都要吃carb-laden会议早餐.
自动驾驶仪,低麻烦:我喜欢它使早餐成为一个自动的决定-不用担心吃什么,煮什么,计时我的丸,和烦恼碳水化合物计数。
3.一个星期以来,我试着在晚上12点吃第一顿饭,在晚上8点之后就不吃东西了(“16:8间歇性禁食”)。与前一周相比,我的胰岛素剂量下降了10%,但血糖水平没有明显变化。尽管如此,我认为间歇性禁食对于那些在早餐兴奋或晚上吃太多零食的人来说还是很有价值的。将一天的饮食压缩到8小时内(例如,晚上12点到8点或上午10点到下午6点),需要在清醒的时候填饱饭,再加上它限制了我在一天中最艰难的两个时间的食物摄入:清晨胰岛素抵抗和晚上活动少。
我经常在晚饭后吃太多的零食,所以我喜欢这样的时间表-“晚上8点以后我不吃东西。期。”我确实发现,在早上晚些时候,在这个计划上,我的精神很难发挥作用,所以我不会坚持禁食到晚上12点。但是正如我所讨论的今年早些时候——在这个实验中被提醒——有巨大的价值在吃饱的时候,早点吃晚饭,之后不要吃零食。
请在这里分享问题或反馈或者找我在推特上-你知道我喜欢倾听和学习谩骂读者!再说一遍,如果你想在我书的预览列表上,让我们知道.



